IKLAN

Contoh Surat Persetujuan Penyerahan Tanah Kepada Satu Pihak

Berikut contoh surat hibah tanah untuk jalan. Contoh Surat Pernyataan Pemberian Nafkah Anak Biasanya surat ini dibuat dengan membutuhkan tes secara medis sehingga bisa dibuktikan.


Surat Pernyataan Penyerahan Tanah1 Surat Reading Learning

Maka kepemilikan hak atas tanah dapat beralih atau berpindah tangan dari satu pihak ke pihak yang lain.

. Surat penyerahan ini kami buat dalam keadaan sadar sehat jasmani dan rohani dan. Dalam transaksi jual beli tanah diperlukan surat pernyataan yang berfungsi sebagai bukti tertulis tentang jual beli yang dilakukan. PIHAK PERTAMA berjanji serta mengikatkan diri untuk menyerahkan petak rumah tersebut di atas dalam keadaan kosong beserta kunci-kuncinya kepada PIHAK KEDUA setelah PIHAK KEDUA.

Contoh Surat Pernyataan Orang Tua Setiap anak tentu akan menjadi tanggung jawab orang tua. Surat ini berisi pernyataan-pernyataan masing-masing pihak yakni Pihak Pertama adalah Pihak yang mengalihkan penguasaan tanah dan Pihak Kedua adalah Pihak yang menerima pengalihan penguasaan tanah. Dan kuasa tersebut tidak akan berakhir karena meninggalnya atau dilikuidasinya salah satu Pihak untuk memberitahukan pemindahan dan penyerahan hak ini dan selanjutnya mengajukan permohonan hak atas tanah tersebut kepada Instansi yang berwenang serta untuk keperluan tersebut.

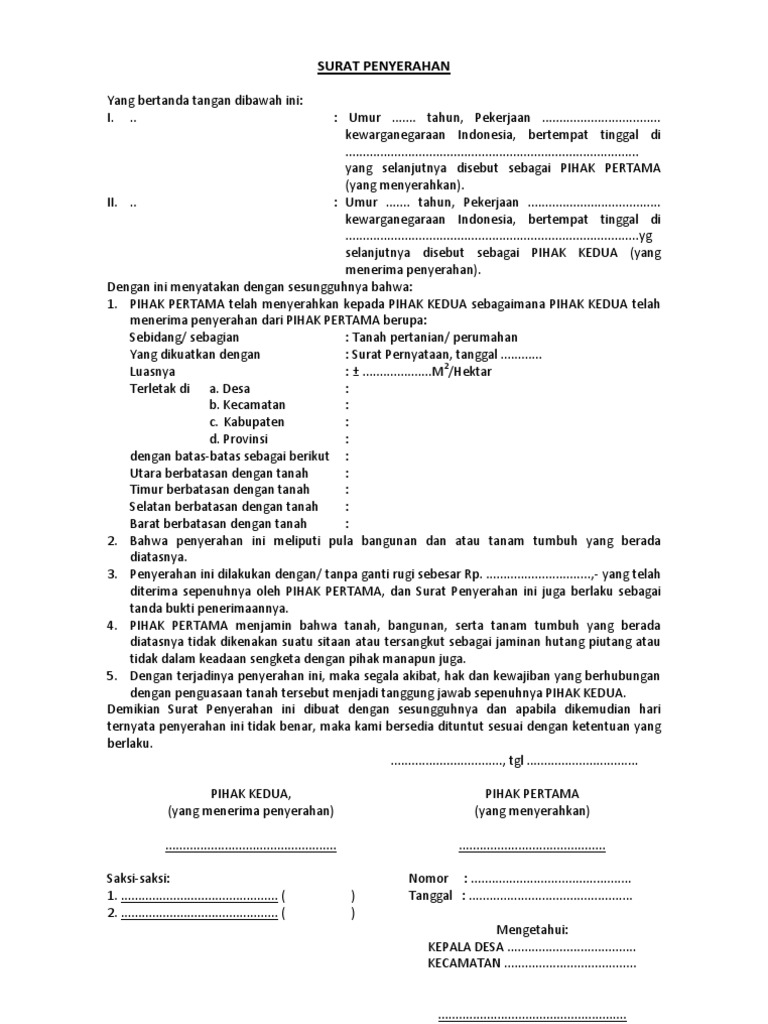
Surat Pernyataan Penyerahan Tanah merupakan bukti dokumen bahwa seseorang telah menyerahkan tanah yang dimilikinya kepada pihak lain baik itu melalui jual beli hibah ataupun lainnya. Check spelling or type a new query. Pengertian jual beli diatur dalam Pasal 1457 BW menyatakan bahwa jual beli adalahsuatu perjanjian dengan mana pihak yang satu mengikatkan dirinya untuk.

Contoh Surat Pernyataan Persetujuan Cerai Dari Suami Itu tadi penjelasan singkat dan juga contoh surat pernyataan cerai yang dapat kami berikan pada kesempatan kali ini. Contoh surat keterangan hibah tanah merupakan surat yang menerangkan pemberian atau hibah sebidang tanah kepada orang lain. Contoh surat terima barang Surat terima barang merupakan surat yang dibutuhkan ketika kita hendak penyerahan barang atau perpindahan tangan dari tangan satu kepada tangan selanjutnyaNah dalam kegiatan ini dibutuhkan yang namanya surat terima barang sebagai pertanggung jawaban selanjutnya.

Fotokopi alas hak tanah rangkap 1 satu seperti Surat Jual Beli Surat Penyerahan tanah Akta Jual Beli Sertifikat Hak Milik SHM. Surat ini juga menjadi bukti bahwa kedua belah pihak yaitu penjual dan pembeli tanah sepakat untuk melakukan transaksi secara sah. Contoh Surat Pernyataan Jual Beli Tanah.

Contoh Surat Hibah Tanah Terbaru 2021. Contohnya seperti surat pernyataan persetujuan berikut ini. Brigadir Birawa Satu RT 09 RW 03 No.

Berikut contoh Surat Perjanjian Sewa Menyewa Tanah Resmi yang bisa anda gunakan. Sebagai sebuah aset terkadang banyak ditemukan sebuah properti baik tanah maupun rumah dihibahkan atau diserahterimakan kepada pihak lain. Fotokopi KTP dan Kartu Keluarga pemilik tanah rangkap 1.

Ia penting dan merupakan satu dokumen yang sah disisi undang-undangDisini kami berkongsi kepada anda contoh surat perjanjian jual beli tanah. Tuan Kukuh Bima Perkasa Umur 47 tahun Warga Negara Indonesia Pekerjaan Pengusaha bertempat tinggal di Jl. Contoh surat persetujuan penyerahan tanah kepada satu pihak.

Jual beli tanah tersebut dilakukan dan disetujui oleh kedua belah pihak dengan harga tanah sebesar Rp90000000000 sembilan ratus juta rupiah. Dalam hal pemberian izin juga sang anak seringkali membutuhkan izin tertulis dari orang tua. Contoh Surat Pernyataan Penyerahan Kepemilikan Tanah.

Contoh Perjanjian Penyerahan Tanah Sebagian. Pasal 2 CARA PEMBAYARAN. Contoh surat wakaf merupakan salah satu hal yang perlu kamu ketahui jika sudah memiliki rencana mewakafkan tanah maupun aset properti.

Perjanjian ini tidak berakhir karena salah. Xxxxx dengan persetujuan istri satu-satunya yang sah bernama Ny. Perkara 5 PENYERAHAN.

Contoh Surat Pernyataan No. Contoh Surat Pernyataan Penyerahan Tanah. Contoh surat hibah tanah untuk jalan umum seputar jalan cute766 pihak pertama menghibahkan sebidang tanah kepada pihak kedua dengan contoh surat keterangan harga tanah dari desa contoh lif co id demikian beberapa contoh surat pribadi untuk orang tua semoga bermanfaat.

Salah satu jenis properti yang kerap dihibahkan adalah tanah proses hibah sendiri terbilang cukup panjang salah satu hal yang. Contoh surat pernyataan penyerahan tanah surat pernyataan penyerahan tanah merupakan bukti dokumen bahwa seseorang telah menyerahkan. Silahkan share artikel ini ke media sosial kamu jika memang dirasa dapat memberi manfaat kepada orang lain.

Yang bertanda tangan di bawah ini. Contoh surat pernyataan penyerahan tanah surat pernyataan penyerahan tanah merupakan bukti dokumen bahwa seseorang telah menyerahkan tanah yang dimilikinya kepada pihak lain baik itu melalui jual beli hibah ataupun lainnya. Cerai adalah masaalah yang menyebapkan putusnya hubungan suami istri.

Misalnya saja dalam melamar pekerjaan sekolah kuliah dan lain sebagainya. Surat Pengikatan Pemindahan dan Penyerahan Hak atas Tanah. Perlu diketahui contoh surat wakaf merupakan salah satu legalitas yang sangat penting khususnya untuk rumah ibadah maupun tempat yang menjadi ruang kebaikan bagi sesama.

Dan juga disaat menulis surat ini harus ditulis. Oleh sebab itu akta maupun surat wakaf. Identitas pihak pertama yang meminta cerai poin selanjutnya adalah menyebutkan identitas diri secara jelas pihak pertama atau pihak yang meminta perceraian.

PIHAK PERTAMA wajib menyerahkan TANAH kepada PIHAK KEDUA setelah Perjanjian ini ditandatangani. 10 Surabaya Barat Pemegang Nomor Induk Kependudukan. Yang disertai penyerahan hak dan tanggung jawab atas rumah tersebut kepada PIHAK KEDUA yang selanjutnya agar dapat ditempati dengan sebaik-baiknya oleh PIHAK KEDUA.

Surat kematian dari rumah sakit. Meskipun sama-sama berisi penjelasan mengenai pemberian harta kepada pihak lain isi surat hibah berbeda dengan surat wasiat. Bagi teman teman yang ingin membagi warisan berupa sebidang tanah berikut ini saya lampirkan contoh surat untuk penyerahan warisan sebidang.

Dan PIHAK KEDUA menerima penyerahan itu sesuai menurut kondisi yang nyata pada hari penyerahan tersebut. 214 Bogor Kecamatan. Contoh surat kuasa tanah.

Sebagai anak laki laki satu satunya saya diberikan rumah yang lebih besar. Biasanya dokumen ini bersifat accecoir dari bukti pernyataan lainnya seperti bukti kepemilikan dan bukti peralihan. Namun jika hibah tersebut tidak disertai dengan surat keterangan hibah maka.

Apabila dikemudian hari ternyata terdapat pihak lain yang melakukan complain maka saya bersedia. Pihak kedua akan memberikan uang tanda jadi sebesar Rp30000000000 tiga ratus juta rupiah kepada pihak pertama yaitu pada tanggal 11 Mei 2016. Selain beberapa contoh di atas ada pula contoh surat pernyataan persetujuan yang biasa diberikan oleh satu pihak sebagai bentuk pernyataan resmi untuk menyumbang pada pihak atau instansi tertentu.

Berikut ini contoh surat pernyataan penyerahan atas kepemilihan bidang tanah kepada penerima yang disetujui oleh anggota keluarga serta disaksikan oleh. Dan untuk berbagai keperluan orang tua pun harus berperan terkait dengan anak. Surat hibah dari pemberi hibah akan memberikan kejelasan terhadap pembagian atau pemberian harta kepada penerima hibah.


Surat Penyerahan Hak Atas Tanah Perladangan Pdf


Surat Pernyataan Penyerahan Pdf

0 Response to "Contoh Surat Persetujuan Penyerahan Tanah Kepada Satu Pihak"

Post a Comment

Iklan Atas Artikel

Iklan Tengah Artikel 1

Iklan Tengah Artikel 2

Iklan Bawah Artikel